返回
阿力知识库
网站首页
美食营养
游戏数码
手工爱好
生活家居
健康养生
运动户外
职场理财
情感交际
母婴教育
生活知识
知识问答
搜索
半圆的周长公式怎么求
时间:2024-10-13 22:47:57
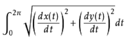
1、设圆的参数方程为 : x=Rcost, y=Rsint圆在一周内周长的积分:
2、代入,可得 :
3、半圆的周长是圆的一般,即半圆的周长公式:c=πr+2r。
高等数学上册里面的空间向量的右手规则怎么理解啊,(就是握住z轴 剩下四指转动 是怎么个意思啊 求详解
高等数学入门——高阶导数的莱布尼兹公式
用数列极限定义证明
高中阶段的一元三次方程解法
【5IC-14】数列1,3,3,3,5,5,5,5,5,……
为你推荐:
1一6年级画画图片大全
肠胀气的治疗方法
鸡爪子的做法家常做法
经常出汗是怎么回事
百合网怎么注销账号
癫痫的治疗方法
最好吃的蛋糕
荷花图片大全
丰田suv车型大全
屏幕分辨率怎么调
© 2026 阿力知识库
信息来自网络 所有数据仅供参考
有疑问请联系站长 site.kefu@gmail.com